Номер 8 - ГДЗ Алгебра 7 класс. Мерзляк, Полонский. Учебник. Страница 8

Вернуться к содержанию учебника

Страница 8

5 6 7 8 9 10 11

Вопрос

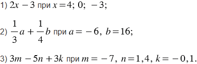
Найдите значение выражения:

Подсказка

Ответ

5 6 7 8 9 10 11


Вернуться к содержанию учебника