Номер 361 - ГДЗ Алгебра 7 класс. Мерзляк, Полонский. Учебник. Страница 71

Вернуться к содержанию учебника

Страница 71

358 359 360 361 362 363 364

Вопрос

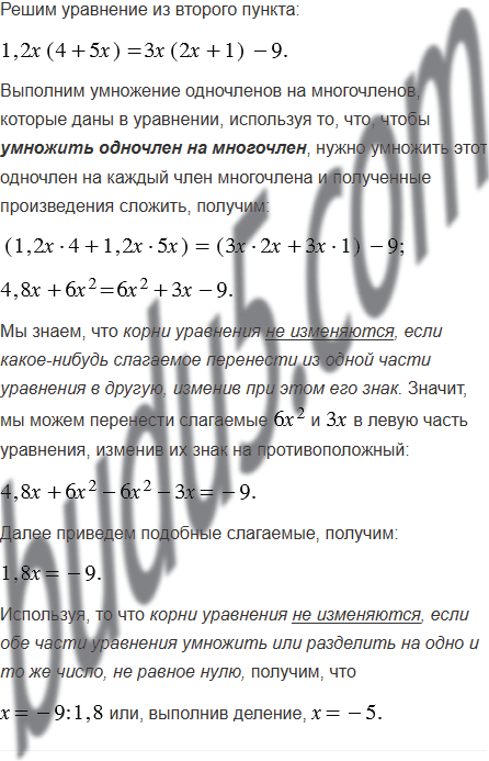
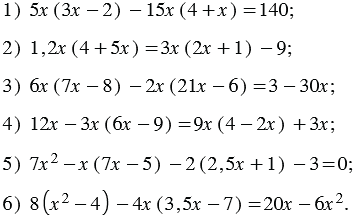
Решите уравнение:

Подсказка

Ответ


Вернуться к содержанию учебника