Номер 500 - ГДЗ Алгебра 7 класс. Мерзляк, Полонский. Учебник. Страница 93

Вернуться к содержанию учебника

Страница 93

497 498 499 500 501 502 503

Вопрос

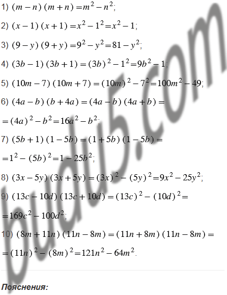
Выполните умножение многочленов:

Подсказка

Ответ


Вернуться к содержанию учебника