Номер 353 - ГДЗ Алгебра 8 класс. Мерзляк, Полонский. Учебник. Страница 92

Вернуться к содержанию учебника

Упражнения § 11. Страница 92

350 351 352 353 354 355 356

Вопрос

Решите графически уравнение:

Подсказка

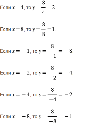
Ответ


Вернуться к содержанию учебника