Вернуться к содержанию учебника
Упражнения § 11. Страница 92
355 356 357 358 359 360 361 362 363 364 365
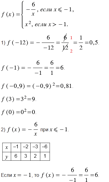
Дана функция
1) Найдите .
2) Постройте график данной функции.
Вспомните: