Номер 517 - ГДЗ Алгебра 8 класс. Мерзляк, Полонский. Учебник. Страница 132

Вернуться к содержанию учебника

Упражнения §16. Страница 132

514 515 516 517 518 519 520

Вопрос

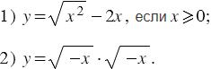
Постройте график функции:

Подсказка

Ответ


Вернуться к содержанию учебника