Вернуться к содержанию учебника
Упражнения §17. Страница 137
525 526 527 528 529 530 531 532 533 534 535
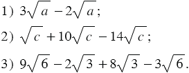
Упростите выражение:
Вспомните: