Номер 542 - ГДЗ Алгебра 8 класс. Мерзляк, Полонский. Учебник. Страница 138

Вернуться к содержанию учебника

Упражнения §17. Страница 138

539 540 541 542 543 544 545

Вопрос

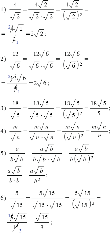
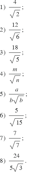
Освободитесь от иррациональности в знаменателе дроби:

Подсказка

Ответ


Вернуться к содержанию учебника