Номер 685 - ГДЗ Алгебра 8 класс. Мерзляк, Полонский. Учебник. Страница 171

Вернуться к содержанию учебника

Упражнения §20. Страница 171

682 683 684 685 686 687 688

Вопрос

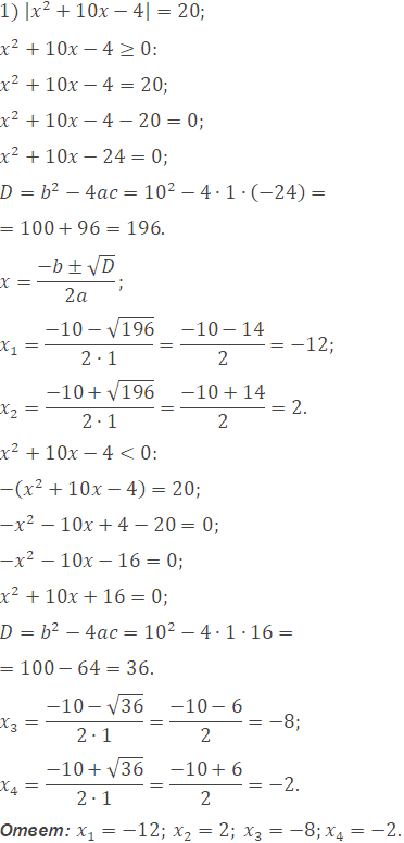
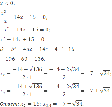
Решите уравнение:

Подсказка

Вспомните:

  1. Что такое уравнение.
  2. Решение уравнений.
  3. Что такое корень уравнения.
  4. Какое уравнение называют квадратным.
  5. Какое выражение называют дискриминантом квадратного уравнения.
  6. Формулу корней квадратного уравнения.
  7. Сложение, вычитание, умножение и деление рациональных чисел.
  8. Что такое арифметический квадратный корень.
  9. Свойства арифметического квадратного корня.
  10. Что называют модулем числа.

Ответ


Вернуться к содержанию учебника