Номер 1146 - ГДЗ Алгебра 7 класс. Мерзляк, Полонский. Учебник. Страница 227

Вернуться к содержанию учебника

Страница 227

1143 1144 1145 1146 1147 1148 1149

Вопрос

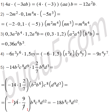
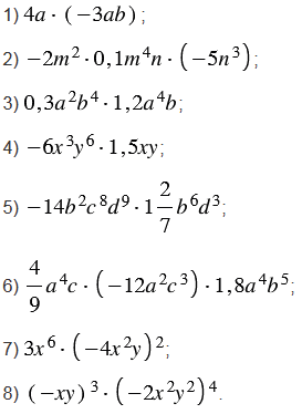
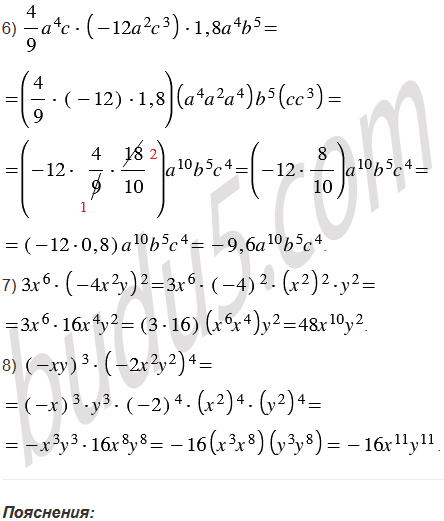
Упростите выражение:

Подсказка

Ответ


Вернуться к содержанию учебника