Номер 1151 - ГДЗ Алгебра 7 класс. Мерзляк, Полонский. Учебник. Страница 228

Вернуться к содержанию учебника

Страница 228

1148 1149 1150 1151 1152 1153 1154

Вопрос

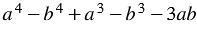
Какой многочлен надо прибавить к многочлену , чтобы их сумма была тождественно равна многочлену ?

Подсказка

Вспомните:

  1. Что называют многочленом.
  2. Что называют одночленом.
  3. Какие выражения называют тождественно равными.
  4. Как найти неизвестное слагаемое.
  5. Сложение и вычитание многочленов.
  6. Правила раскрытия скобок, подобные слагаемые.

Ответ


Вернуться к содержанию учебника