Номер 815 - ГДЗ Алгебра 8 класс. Мерзляк, Полонский. Учебник. Страница 201

Вернуться к содержанию учебника

Упражнения §24. Страница 201

812 813 814 815 816 817 818

Вопрос

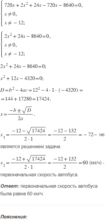
Международный автобус должен был проехать 72 км. После того как он проехал 24 км, его задержали на железнодорожном переезде на 12 мин. Потом он увеличил скорость на 12 км/ч и прибыл в пункт назначения с опозданием на 4 мин. Найдите первоначальную скорость автобуса.

Подсказка

Ответ


Вернуться к содержанию учебника