Номер 817 - ГДЗ Алгебра 8 класс. Мерзляк, Полонский. Учебник. Страница 201

Вернуться к содержанию учебника

Упражнения §24. Страница 201

814 815 816 817 818 819 820

Вопрос

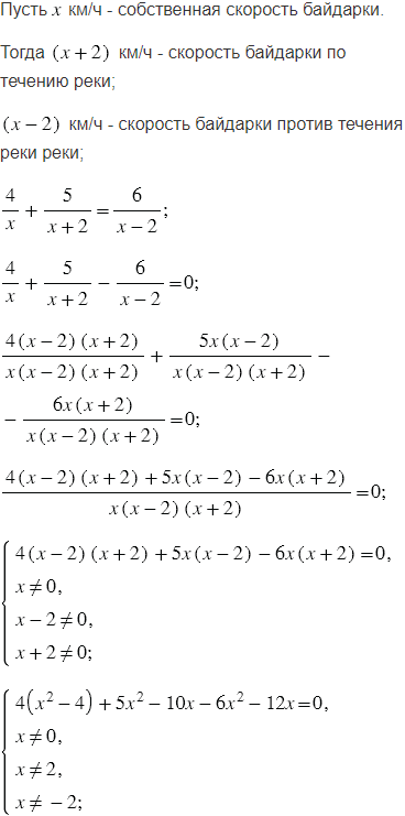
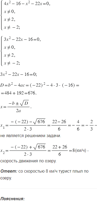
Турист проплыл на байдарке 4 км по озеру и 5 км по течению реки за то же время, за которое он проплыл бы 6 км против течения. С какой скоростью турист плыл по озеру, если скорость течения реки равна 2 км/ч?

Подсказка

Ответ


Вернуться к содержанию учебника